本文共 12189 字,大约阅读时间需要 40 分钟。
``如果贝叶斯的模型效果不如其他模型,而我们又不想更换模型,那怎么办呢?如果以精确度
为指标来调整参数,贝叶斯估计是无法拯救了——不同于SVC和逻辑回归,贝叶斯的原理简单,根本没有什么可用的 参数。但是产出概率的算法有自己的调节方式,就是调节概率的校准程度。校准程度越高,模型对概率的预测越准 确,算法在做判断时就越有自信,模型就会更稳定。如果我们追求模型在概率预测上必须尽量贴近真实概率,那我们 就可以使用可靠性曲线来调节概率的校准程度`#可靠性曲线import numpy as npimport pandas as pdimport matplotlib.pyplot as pltfrom sklearn.datasets import make_classification as mc#制作自己数据集的类from sklearn.naive_bayes import GaussianNBfrom sklearn.svm import SVCfrom sklearn.linear_model import LogisticRegression as LRfrom sklearn.metrics import brier_score_lossfrom sklearn.model_selection import train_test_split
#创建数据集X,y=mc(n_samples=100000,n_features=20#总共20个特征 ,n_classes=2#标签是2分类 ,n_informative=2#其中两个代表较多信息 ,n_redundant=10#10个都是冗余特征 ,random_state=42)
#样本量足够大,因此使用1%的样本作为训练集,因为之前我们都知道#朴素贝叶斯,即使是使用非常少的训练集,效果也会不错Xtrain,Xtest,ytrain,ytest=train_test_split(X,y,test_size=0.99,random_state=42)
gnb=GaussianNB()gnb.fit(Xtrain,ytrain)y_pred=gnb.predict(Xtest)
prob_pos=gnb.predict_proba(Xtest)[:,1]#利用字典来创建DATAFRAMEdf=pd.DataFrame({"ytrue":ytest[:500],"probability":prob_pos[:500]})df=df.sort_values(by="probability")#索引变乱了df.index=range(df.shape[0])``` fig=plt.figure()#画布ax1=plt.subplot()#建立一个子图ax1.plot([0,1],[0,1],"k:",label="perfectly calibrated")##画出对角线,X轴取值0-1,y轴取值0-1#因为如果x=y,预测值和真实值越接近,那么曲线就越靠近对角线#ax1.plot(df["probability"],df["ytrue"],"s-",label="%s(%1.3f)"%("bayes",clf_score))ax1.plot(df["probability"],df["ytrue"],"s-")ax1.set_ylabel("true label")ax1.set_xlabel("predicted probability")ax1.set_ylim([-0.05,1.05])ax1.legend()plt.show() 
fig=plt.figure()#画布ax1=plt.subplot()#建立一个子图ax1.plot([0,1],[0,1],"k:",label="perfectly calibrated")##画出对角线,X轴取值0-1,y轴取值0-1#因为如果x=y,预测值和真实值越接近,那么曲线就越靠近对角线#ax1.plot(df["probability"],df["ytrue"],"s-",label="%s(%1.3f)"%("bayes",clf_score))ax1.scatter(df["probability"],df["ytrue"],s=10)ax1.set_ylabel("true label")ax1.set_xlabel("predicted probability")ax1.set_ylim([-0.05,1.05])ax1.legend()plt.show() 
#因为真实概率不可能找到,不过我们可以找到类概率from sklearn.calibration import calibration_curvetrueprob,preproba=calibration_curve(ytest,prob_pos,n_bins=10)fig=plt.figure()ax1=plt.subplot()ax1.plot([0,1],[0,1],"k:")ax1.plot(preproba,trueprob,"s-")ax1.set_ylabel("true probability for class 1")ax1.set_ylabel("mean predcited pronaility")ax1.set_ylim([-0.05,1.05])ax1.legend()plt.show() 
调用enumerate函数。调用enumerate函数的写法是:enumerate(序列)。作用是为序列中的元素加上序号。生成的结果也是一个序列。 举一个例子说明enumerate函数的用法。enumerate([‘a’, ‘b’, ‘c’])的值是:[(0, ‘a’), '(1, ‘b’), (2, ‘c’)]。(0, ‘a’)有两项,第一项是序号,第二项是原列表的元素。
再举一个例子说明enumerate函数的用法。enumerate([1.5, 2.8, 3.14, 5.6])的值是:[(0, 1.5), (1, 2.8), (3, 3.14), (4, 5.6)]。(0, 1.5)有两项,第一项是序号,第二项是原列表的元素。(4, 5.6)也一样,第一项是序号,第二项是原列表的元素。
ig,ax = plt.subplots()使用该函数确定图的位置,掉用时要XXX=ax.(ax是位置)
等价于:
fig = plt.figure()
ax = fig.add_subplot(1,1,1) fig 是图像对象,ax 是坐标轴对象 fig, ax = plt.subplots(1,3),其中参数1和3分别代表子图的行数和列数,一共有 1x3 个子图像。函数返回一个figure图像和子图ax的array列表。fig, ax = plt.subplots(1,3,1),最后一个参数1代表第一个子图。
如果想要设置子图的宽度和高度可以在函数内加入figsize值#不同得分箱下曲线是如何变化得fig=plt.figure()axes=plt.subplots(1,3,figsize=(18,4))#fig,axes=plt.subplots(1,3,figsize=(18,4))
fig,axes=plt.subplots(1,3,figsize=(18,4))for ind ,i in enumerate([3,10,100]): ax=axes[ind] trueprob,preproba=calibration_curve(ytest,prob_pos,n_bins=i) ax.plot([0,1],[0,1],"k:") ax.plot(preproba,trueprob,"s-") ax.set_ylabel("true probability for class 1") ax.set_xlabel("mean predcited pronaility") ax.set_ylim([-0.05,1.05]) ax.legend()plt.show() 
#建立循环,绘制多个模型得概率密度曲线name=["GaussianBayes","Logistic","SVC"]gnb=GaussianNB()logi=LR(C=1.,solver='lbfgs',max_iter=3000,multi_class="auto")#优化算法选择参数:solver,lbfgs:拟牛顿法的一种,利用损失函数二阶导数矩阵即海森矩阵来迭代优化损失函数。#分类方式选择参数:multi_class#C是用来控制正则化程度的超参数,C正则化强度的倒数,必须是一个大于0的浮点数,不填写默认1.0,#即默认正则项与损失函数的比值是1:1。#C越小,损失函数会越小,模型对损失函数的惩罚越重,正则化的效力越强,参数会逐渐被压缩得越来越小svc=SVC(kernel="linear",gamma=1.)fig,ax1=plt.subplots(figsize=(8,6))ax1.plot([0,1],[0,1],"k:")#画出对角线for clf,name_ in zip([gnb,logi,svc],name): clf.fit(Xtrain,ytrain) y_pred=clf.predict(Xtest) if hasattr(clf,"predict_proba"): prob_pos=clf.predict_proba(Xtest)[:,1] else : prob_pos=clf.decision_function(Xtest) prob_pos=(prob_pos-prob_pos.min())/(prob_pos.max()-prob_pos.min()) clf_score=brier_score_loss(ytest,prob_pos,pos_label=y.max()) trueprob,preproba=calibration_curve(ytest,prob_pos,n_bins=10) ax1.plot(preproba,trueprob,"s-",label="%s(%1.3f)"%(name_,clf_score)) ax1.set_ylabel("true probability for class 1") ax1.set_xlabel("mean predcited pronaility") ax1.set_ylim([-0.05,1.05]) ax1.legend()plt.show() 
我们可以通过绘制直方图来查看模型的预测概率的分布。直方图是以样本的预测概率分箱后的结果为横坐标,每个箱
中的样本数量为纵坐标的一个图像。注意,这里的分箱和我们在可靠性曲线中的分箱不同,这里的分箱是将预测概率 均匀分为一个个的区间,与之前可靠性曲线中为了平滑的分箱完全是两码事。我们来绘制一下我们的直方图name=["GaussianBayes","Logistic","SVC"]gnb=GaussianNB()logi=LR(C=1.,solver='lbfgs',max_iter=3000,multi_class="auto")#优化算法选择参数:solver,lbfgs:拟牛顿法的一种,利用损失函数二阶导数矩阵即海森矩阵来迭代优化损失函数。#分类方式选择参数:multi_class#C是用来控制正则化程度的超参数,C正则化强度的倒数,必须是一个大于0的浮点数,不填写默认1.0,#即默认正则项与损失函数的比值是1:1。#C越小,损失函数会越小,模型对损失函数的惩罚越重,正则化的效力越强,参数会逐渐被压缩得越来越小svc=SVC(kernel="linear",gamma=1.)fig,ax2=plt.subplots(figsize=(8,6))for clf,name_ in zip([gnb,logi,svc],name): clf.fit(Xtrain,ytrain) y_pred=clf.predict(Xtest) if hasattr(clf,"predict_proba"):#hasattr(obj,name):查看一个类obj中是否存在名字为name的接口,存在则返回True prob_pos=clf.predict_proba(Xtest)[:,1] else : prob_pos=clf.decision_function(Xtest) prob_pos=(prob_pos-prob_pos.min())/(prob_pos.max()-prob_pos.min()) ax2.hist(prob_pos#只设置横坐标即可,纵坐标是该概率下样本的数量 ,bins=10 ,label=name_ ,histtype="step" #设置直方图为透明 ,lw=2 #设置直方图每个柱子描边的粗细 )ax2.set_ylabel("Distribution of probability")ax2.set_xlabel("Mean predicted probability")ax2.set_xlim([-0.05, 1.05])ax2.set_xticks([0,0.1,0.2,0.3,0.4,0.5,0.6,0.7,0.8,0.9,1])ax2.legend(loc=9)plt.show() 
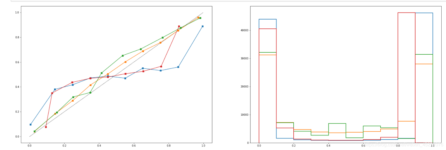
#包装函数def plot_calib(models,name,Xtrain,Xtest,ytrain,ytest,n_bins=10): import matplotlib.pyplot as plt from sklearn.metrics import brier_score_loss from sklearn.calibration import calibration_curve fig,(ax1,ax2)=plt.subplots(1,2,figsize=(30,10)) ax1.plot([0,1],[0,1],"k:",label="Perfectly calibrated") for clf,name_ in zip(models,name): clf.fit(Xtrain,ytrain) y_pred=clf.predict(Xtest) if hasattr(clf,"predict_proba"):#hasattr(obj,name):查看一个类obj中是否存在名字为name的接口,存在则返回True prob_pos=clf.predict_proba(Xtest)[:,1] else : prob_pos=clf.decision_function(Xtest) prob_pos=(prob_pos-prob_pos.min())/(prob_pos.max()-prob_pos.min()) clf_score=brier_score_loss(ytest,prob_pos,pos_label=y.max()) trueprob,preproba=calibration_curve(ytest,prob_pos,n_bins=n_bins) ax1.plot(preproba,trueprob,"s-",label="%s(%1.3f)"%(name_,clf_score)) ax2.hist(prob_pos#只设置横坐标即可,纵坐标是该概率下样本的数量 ,range=(0,1) ,bins=n_bins ,label=name_ ,histtype="step" #设置直方图为透明 ,lw=2 #设置直方图每个柱子描边的粗细 )ax2.set_ylabel("Distribution of probability")ax2.set_xlabel("Mean predicted probability")ax2.set_xlim([-0.05, 1.05])ax2.set_xticks([0,0.1,0.2,0.3,0.4,0.5,0.6,0.7,0.8,0.9,1])ax2.legend(loc=9)ax2.set_title("Distribution of probablity")ax1.set_ylabel("true probability for class 1")ax1.set_xlabel("mean predcited pronaility")ax1.set_ylim([-0.05,1.05])ax1.legend()ax1.set_title("Calibration plots(reliabilty curve)")plt.show() from sklearn.calibration import CalibratedClassifierCVname=["GaussianBayes","Logistic","Bayes+isotonic","Bayes+sigmoid"]gnb=GaussianNB()logi=LR(C=1.,solver='lbfgs',max_iter=3000,multi_class="auto")models=[gnb,logi,CalibratedClassifierCV(gnb,method="isotonic"),CalibratedClassifierCV(gnb,method="sigmoid")]
plot_calib(models,name,Xtrain,Xtest,ytrain,ytest)

可以看出,校准概率后,布里尔分数明显变小了,但整体的准确率却略有下降,这证明算法在校准之后,尽管对概率 的预测更准确了,但模型的判断力略有降低。来思考一下:布里尔分数衡量模型概率预测的准确率,布里尔分数越 低,代表模型的概率越接近真实概率,**当进行概率校准后,本来标签是1的样本的概率应该会更接近1,而标签本来是 0的样本应该会更接近0,没有理由布里尔分数提升了,模型的判断准确率居然下降了。但从我们的结果来看,模型的 准确率和概率预测的正确性并不是完全一致的,为什么会这样呢? 对于不同的概率类模型,原因是不同的。对于SVC,决策树这样的模型来说,概率不是真正的概率,而更偏向于是一 个“置信度”,这些模型也不是依赖于概率预测来进行分类(决策树依赖于树杈而SVC依赖于决策边界),因此对于这 些模型,可能存在着类别1下的概率为0.4但样本依然被分类为1的情况,这种情况代表着——模型很没有信心认为这 个样本是1,但是还是坚持把这个样本的标签分类为1了。这种时候,概率校准可能会向着更加错误的方向调整(比如 把概率为0.4的点调节得更接近0,导致模型最终判断错误),因此出现布里尔分数可能会显示和精确性相反的趋势。 而对于朴素贝叶斯这样的模型,却是另一种情况。注意在朴素贝叶斯中,我们有各种各样的假设,除了我们的“朴 素”假设,还有我们对概率分布的假设(比如说高斯),这些假设使得我们的贝叶斯得出的概率估计其实是有偏估 计,也就是说,这种概率估计其实不是那么准确和严肃。我们通过校准,让模型的预测概率更贴近于真实概率,本质 是在统计学上让算法更加贴近我们对整体样本状况的估计,这样的一种校准在一组数据集上可能表现出让准确率上 升,也可能表现出让准确率下降,这取决于我们的测试集有多贴近我们估计的真实样本的面貌。这一系列有偏估计使 得我们在概率校准中可能出现布里尔分数和准确度的趋势相反的情况。 当然,可能还有更多更深层的原因,比如概率校准过程中的数学细节如何影响了我们的校准,类calibration_curve中 是如何分箱,如何通过真实标签和预测值来生成校准曲线使用的横纵坐标的,这些过程中也可能有着让布里尔分数和 准确率向两个方向移动的过程。 在现实中,当两者相悖的时候,请务必以准确率为标准。但是这不代表说布里尔分数和概率校准曲线就无效了。概率 类模型几乎没有参数可以调整,除了换模型之外,鲜有更好的方式帮助我们提升模型的表现,概率校准是难得的可以 帮助我们针对概率提升模型的方法 #对SVC进行校准from sklearn.calibration import CalibratedClassifierCVsvcname=["SVC","Logistic","SVC+isotonic","SVC+sigmoid"]svc=SVC(kernel="linear",gamma=1)logi=LR(C=1.,solver='lbfgs',max_iter=3000,multi_class="auto")models=[svc,logi,CalibratedClassifierCV(svc,method="isotonic"),CalibratedClassifierCV(svc,method="sigmoid")]

name_svc=["SVC","SVC+isotonic","SVC+sigmoid"]svc=SVC(kernel="linear",gamma=1)models_svc=[svc,CalibratedClassifierCV(svc,cv=2,method="isotonic"), CalibratedClassifierCV(svc,cv=2,method="sigmoid")]for clf,name in zip(models_svc,name_svc): clf.fit(Xtrain,ytrain) y_pred=clf.predict(Xtest) if hasattr(clf,"predict_proba"): prob_pos=clf.predict_proba(Xtest)[:,1] else: prob_pos=clf.decision_function(Xtest) prob_pos=(prob_pos-prob_pos.min())/(prob_pos.max()-prob_pos.min()) clf_score=brier_score_loss(ytest,prob_pos,pos_label=prob_pos.max()) score=clf.score(Xtest,ytest) print("{}:".format(name)) print("\tBrier:{:.4f}".format(clf_score)) print("\tAccuracy:{:.4f}".format(score)) 
转载地址:http://ntrmz.baihongyu.com/